0. Tóm tắt liên quan các Models

https://openaccess.thecvf.com/content/CVPR2022/papers/Ding_TransMVSNet_Global_Context-Aware_Multi-View_Stereo_Network_With_Transformers_CVPR_2022_paper.pdf

MagicPoint + CNN (VGG16) + Homography + Loss (keypoint loss + descriptor loss) = Superpoint

Superpoint + GNN(Graph Neural Network) = SuperGlue

https://github.com/magicleap/SuperGluePretrainedNetwork

- SuperGlue + Transformer = LoFTR (Detector-Free Local Feature Matching with Transformers)

https://zju3dv.github.io/loftr/

- sequence to sequence matching perpestive + LoTTR= STTR -> Stereo depth estimation ?


sequence: HMM (Hidden Markov Models)

HMM + SVM(Support Vector Machine) = Fisher Kernel

Edge Detector + Hessian matrix + PCA( principal component analysis) = Harris Corner Detector

Edge Detector (ý tưởng) + DOG (Difference of Gaussian) = Pyramid Image Preprocessing

(Scale-Invariant + Pyramid) (keypoint) + HoG (Histogram of Gradient) (descriptor) = SIFT

(Scale-Invariant + Hessian matrix + Gaussian Kernel + Pyramid) (keypoint) + HaarWavelet (descriptor) = SURF

- Epipolar Geometry + Camera Pose = MSV (Multi-Stereo View )

SIFT + ... = VLAD ?

Fisher Kernel ngang hàng VLAD

VLAD + ... = NetVLAD ?


Scale-Invariant -> Feature Extraction + Descriptor matching (Euclide Distance L1-Norm)

- Gipuma

NMS (Non-maximal Supression)

CNN(VGG16) + Boundingbox +IOU (Intersection over Union) +Loss (Localization + Confidence + Classification) = Yolo1 ( S*S*(5*B+C)) (1 object/ 1 gridcell)

CNN(Darknet19) + Yolo1 (ý tưởng) + Archonbox (từ FastRCNN) + BatchNorm layer = Yolo2 (S*S*B*(4+1+C)) ( nhiều object/ 1 gridcell)



Low-level Vision

1. Kernel

1.1. Sobel

Thay thế đạo hàm/ Gradient

Chạy với Convolution Layer


1.1. Gaussian

Mục đích làm feature trải đều hơn trên 1 khu vực -> tiến đến phân phối chuẩn (Normal Rule), 



2. Dimension Reduce

2.1. PCA - Principle Componant Analysis

- Giảm chiều dữ liệu

Giúp xác định Feature chính

- Bất lợi: Mất khá nhiều feature

- Thuật toán core: Covariance Matrix + Chéo hóa matrix ( Diagonalizable matrix)

2.2. LDA - Linear Discriminant Analysis

Khái quát của Fisher 's Linear Discriminant

gần ANOVA model

Mục đích chính cũng là tìm mô tả tốt nhất cho tập data


3. Structure

https://www.mathworks.com/help/deeplearning/ref/deepnetworkdesigner-app.html

3.1. Pyramid

- https://en.wikipedia.org/wiki/Pyramid_(image_processing)

- Khá giống mô hình NN (trừ mjucj đích không phải train qua lại để tối ưu parameter mà để thực hiện phép tính)

- mục đích: encode hoặc decode

- Sử dụng: thường đi theo image processing theo dạng thay đổi scale

- Hay chạy cùng Gaussian Kernel + biến đổi scale (/2 như SIFT hoặc +2 như SURF)

3.2. MagicPoint

- Định nghĩa bởi MagicLeap

Đơn giản là 1 neural network sau khi được train qua tập các hình học cơ bản (cả 2D và 3D) (ví dụ Synthetic Shape Data) đã được label

- Tập data này có thể đựa tạo bởi những hàm trong OpenCV

- Sử dụng để làm khuôn cho Superpoint

- Sử dụng trong keypoint detector


https://github.com/rpautrat/SuperPoint/blob/master/superpoint/datasets/synthetic_dataset.py

3.3. Visual Geometry Group VGG

- 1 CNN được ứng dụng khá nhiều nổi tiếng bởi tính đơn giản

- input: 224x224

- Ứng dụng nhiều trong classificate  đơn giản hoặc làm baseline cho model phức tạp

- https://keras.io/api/applications/vgg/




- Có khả năng xảy ra bùng nổ gradient hoặc Vanishing Gradient (Chúng ta thường thấy Gradient giảm dần theo layer càng sau, Gradient quá nhỏ/biến mất -> không chỉnh được weights -> không hội tụ
- Train chậm
- Bộ nhớ lớn

3.3.1. VGG16
- 16 layers
- được biết đến nhiều nhất
- Được dùng cho làm baseline 
- Max hàng mil params và 1000 class
3.3.1. VGG19
-19 layers
- Phức tạp hơn VGG16
- Dùng cho những trường hợp cần phân tích sâu hơn
- Đề cao tính chính xác hơn

3.4. Unet

Tên thế vì giống hình chữ U. Là kiến trúc được sử dụng nhiều trong bài toán image-to-image. Có điểm tương tự với kiến trúc Encoder-Decoder đối xứng, được thêm các skip connection từ Encode sang  Decode tương ứng. Về cơ bản, các layer càng cao càng trích suất thông tin ở mực trừu tượng cao, tức các thông tin mức trừu tượng thấp nhưu đương nét, màu sắc, bộ phận, độ phân giải, ... sẽ mất đi trong lúc lan truyền nên có thêm skip-connected để giải quyết vấn đề

Với Encode, feature-map được downscale bằng các Convolution. Ngược lại ở decoder, feature- map để upsale bới upsampling player


3.5. Residual Network ResNet

- Được tạo ra với mục đích giải quyết Vanishing Gradient

- Cấu trúc có thêm lớp Residual Block

Cộng thêm x vào đầu ra, bỏ qua một vài layer khác
- So với VGG, Resnet nhiều layer hơn nhưng ít param hơn
- Thường được sử dụng cho việc làm tham chiếu tính chính xác của các models

- code https://d2l.aivivn.com/chapter_convolutional-modern/resnet_vn.html

3.6. Coordinations

Là những hệ tọa độ cơ sở, những object cần tập trung, xây dựng nên các bài toán của Computer Vision và Camera Vision.

- World Coordination: hệ tọa độ tại thế giới thực / không gian đang xét tương đồng 

- Sensor Coordination: Biểu diễn vị trí và các hướng của object

- Camera Coordination: hệ tọa độ camera

- Image Coordination: hệ toạ độ biểu diễn hình chiếu của 3D structure trên image

world - sensor : 1 rotate + 1 translate

sensor - camera: extrinsic (1 rotate + 1 translate)

camera - image: intrinsic ( priciple point, distance, facos function, 1 rotate + 1 translate + 1 scale)

3.7. Attention

https://viblo.asia/p/tim-hieu-ve-co-che-attention-924lJjbmlPM

Mục đích để có thể focus vòa một vài phần nào đó của input trong quá trình processing thay vì chú ý toàn bộ

Algorithm:

    - input -> 1 network trong khi 1 phần khác của input đi qua 1 network khác

    - netword cho weight vào mỗi  neuron, cho attention vào part đó của input

    - tổng hợp lại để tạo output, Là tổng weights ở Neurons, với weights miêu tả attention của mỗi part của input

     -output qua layer mới hoặc làm final output

https://en.wikipedia.org/wiki/Attention_(machine_learning)



Ví dụ sắp xếp lại thứ tự từ ngữ khi dịch tiếng Anh sang tiếng Pháp
nhìn khá giống các Latch info

Mathematic

1. Matrix

1.1. Hessian matrix

dạng covariance đạo hàm / gradient của các dimension

dạng cơ bản cho 2D:

Ví dụ: Kết hợp PCA -> 2 eigenvector mô tả 2 cạnh của corner trong Harris Corner Detector

1.2. Covariance matrix

Là matrix n x n thể hiện mối tương quan của các dimension (n-D)

cov = 0 <=> independent

Rất quan trọng trong nghiên cứu các ML Model, đặc biệt là dạng Linear

1.3. Bicubic interpolation

Dự đoán các pixel dựa vào các pixel xung quanh. Ý tưởng khá giống xử lí null value trong Recommend System


Có 3 dạng cách chính:

    - Neighbour: dựa vào value giá trị gần nhất

    - Linear: dựa vào đường nối 2 điểm cạnh bên

    - Cubic: giống việc tìm nguyên hàm 

1.4. Distortion




Là sự biến động về hình ảnh xảy ra ở lớp camera, dẫn đến bóp méo image nhận được


2. Method

2.1. Diagonalizable matrix

Chéo hóa ma trận


- Ứng dụng rất nhiều

- Ví dụ trong tìm constaint / invariant trong các algorithm

https://vi.wikipedia.org/wiki/Ma_tr%E1%BA%ADn_ch%C3%A9o_h%C3%B3a_%C4%91%C6%B0%E1%BB%A3c

- Nếu trong trường hợp không phải matrix vuông => C = UT DV

2.2. Difference of Gaussian DOG

- Tính  distance giữa các lớp Gaussian của các layer scale liên tiếp (scale khác nhau)

- Mục đích: xác định keypoint nổi bật bởi sự thay đổi đột ngột giá trị tại khi qua các layer

- Bất lợi: dựa vào 1 feature cố định

- Ví dụ: dùng trong SIFT để xác định scale-invariant 


2.3. Histogram of Gradient

- Kết hợp 1 method với độ gần xa của các pixel

- Mục đích: Xác định góc, độ lớn của mô tả vector descriptor

- Ví dụ: dùng trong SIFT 

- Nên xác định trước chia bao nhiêu góc, độ rộng bao nhiêu


- Trong bài toán Keypoint Descriptor, dễ dẫn đến các match sai/ Outliners Matches vì hệ thống lại mô tả keypoint 1 cách đơn giản

2.4. Homography

Là kĩ thuật biến đổi 1 không gian tọa độ dựa theo bức ảnh này trở thành không gian tọa độ dựa theo bức ảnh khác

Được biểu diễn dưới dạng 3x3 là matrix hợp của 1 phép tính tiến + 1 phép quay 3D + 1 phép scaling (3/4 phép biến đổi affine cơ bản, không có nghịch đảo)

u = T R v

https://www.brainvoyager.com/bv/doc/UsersGuide/CoordsAndTransforms/SpatialTransformationMatrices.html

- Áp dung rất nhiều trong Computer Vision

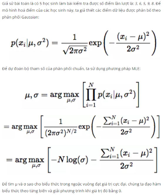
2.5. Maximal Likelihood Estimate MLE

Likelihood: là 1 trị số cho thấy khả năng model fit với observed data (thường là giá trị xác xuất)

MLE Là 1 phương pháp tìm tham số để maximize likelihood function

Tức ta cần tìm bộ tham số theta để giá trị xác xuất p đạt giá trị lớn nhất

Ví dụ: https://viblo.asia/p/so-luoc-ve-maximum-likelihood-estimation-1Je5EvrYKnL

Vậy output của MLE là bộ tham số mean pui và sai phân ecart-type
Log-likelihood: là logarit của likelihood chỉ để dễ tính hơn, MLE thì vẫn vậy
Cross Entropy loss: là trị số đo sự khác nhau giữa 2 phân phối (mô hình) trong việc training classifier. Là trung bình âm của log-likelihood của true class. 

Minimize cross-entropy loss = maximizing likelihood

3. Space

Với Computer Vision, ta sẽ hay nói về topological space là chính

Tức là 1 cấu trúc toán học tổ hợp 1 tập point và 1 tập các quy tắc (gọi là topology) để xác định tính "đóng" và "gần" đến tập khác -> dùng để mô tả cấu trúc của 1 space

1 topological space là 1 tập các tập mà chứa mọi points "đóng" đến given points. Tức đóng với hữu hạn intersection và union. Topology là 1 cách encoding inforrmation về relationship giữa các points

3.1. Compact space

Là 1 topological space "đóng""có giới hạn/bị chặn". Tức mọi cover mở có hữu hạn subcover, mọi infinite sequence (chuỗi vô hạn) có 1 coverging subsequence (chuỗi con hội tụ)

Thường dùng với continous function (hàm liên tục) cũng như nghiên cứu convergence of sequences and series (sự hội tụ của chuỗi)

3.2. Metric space

Là topological space có thêm cấu trúc metric. 1 metric là 1 hàm định nghĩa khoảng cách giữa 2 points ( có các tính chất: không âm, symmetric, thỏa mãn triangle inquality (bất đẳng thức tam giác)) -> "closeness" hơn là "nearness"(hèn gì close với near đồng nghĩa :v )

Thường dùng để định nghĩa convergence, completeness và compactness

3.3. Euclidean space

Là 1 metric space tập trung vào khoảng cách các points

Ví dụ: 3D, 2D, ...

-> Khoảng cách vector là khác :v

3.4. Hibert space

Là 1 loại không gian vector vô hạn chiều (infinite-dimensional vector space) mà có inner product (dot product) giữa các vector. Inner product được dùng để định nghĩa length (chiều dài) và angle (góc) giữa các vector 

Hibert spaces là comlete, tức mọi Cauchy squence of vectors (chuỗi Cauchy) hội tụ tại 1 điểm cũng trong space (key feature của Hibert space)


4.Transfer Learning
Transfer Learning: tận dụng kinh nghiệm học được từ 1 vấn đề để áp dụng vào 1 vấn đề có liên quan khác. Ví dụ: thay vì train model mới hoàn toàn cho phân loại chó/mèo, có thể tận dụng 1 model đã train trên ImageNet dataset với hàng triệu ảnh. Pre-trained này được train tiếp trên tập dataset chó/mèo -> quá trình nhanh hơn, kết quả tốt hơn
4.1. Fine-tuning
Fine-tuning: là 1 loại Transfer Learning. Đơn giản là lấy 1 pre-trained model, tận dụng 1 phần hoặc toàn bộ các layer, thêm/sửa/xóa 1 vài layer/nhánh để tạo 1 model mới. Thường các layer đầu của model được freeze (đóng băng) - tức weight không đổi giá trị trong quá trình train.Lí do là các layer này đã có khả năng trích xuất thông tin ở mức ổn, được học từ quá trình training trước đó -> model chỉ phải update các layer cao. Ví dụ các Object detect model xây trên Classifier model

Matching pairs

1. Only keypoint

1.1. Harris Corner Detector

- Xác định các góc trong ảnh

- Thuật toán core: Hessian matrix + PCA

- Bất lợi: 

    + Trong bài toán xác định keypoint, chỉ xác định được các góc, không phù hợp tìm tất cả keypoint

    + Không có Descriptor, chỉ có Coordination -> Không dùng để matching

2. +Descriptor

2.1. SIFT

Scale-invariant feature transform

- Tìm và nối keypoints

- Tập trung vào Scale-invariant

- Thuật toán Core: Difference of Gaussian DoG + Pyramid + HoG

(Scale-Invariant + Pyramid) (keypoint) + HoG (Histogram of Gradient) (descriptor) = SIFT

- output : keypoint set (index-vector)+ descriptor (128-D)


- Bất lợi: dùng Pyramid với DoG nên phụ thuộc feature màu lớn -> Accuracy yêu trong trường hợp thay đổi góc sáng ( càng tối các màu càng đen khó phân biệt)

- Thường là nguồn cho các model theo hướng model-centric (VLAD, COLMAP, ... )

- Tự code: https://github.com/ezrafield/ibm-certificate-final/blob/main/find_matrix_rotate_by_SIFT_class.ipynb

2.2. SURF

Speeded-Up Robust Feature

- Thuật toán gần như tương tự SIFT

- Tốt hơn SIFT về mặt thời gian nhưng descriptor và cách chọn keypoint có phần đơn giản hơn

- Sử dụng Hessian Matrix + Gaussian kernel làm nền:

- Cũng dùng pyramid nhưng thay vì dạng 2x thì thành 9x9 15x15 21x21 27x27 ...
- Tại Descriptor, s
ử dụng tọa độ Haar-Wavelet

- code: https://github.com/deepanshut041/feature-detection/tree/master/surf

- hyper parameter thêm chỉ có scale

- output cũng là 128-D

2.3. Superpoint (2018)

Self-Supervised Interest Point

- Là dạng data-centric cho xác định keypoints + descriptor

- Mục đích chính: Tạo 1 dataset để train NN mà không cần label bằng tay


3 bước: 

 - Interest point pre-training: Synthetic Shape Data -> MagicPoint

 - Interest point Self-labeling: COCO+ HA (Homography Adaptation) + Base Detector -> Self-labeled dataset



 - Joint Training: Self-labeled dataset -> Superpoint Model

- Arxiv 2018: https://arxiv.org/pdf/1712.07629.pdf

- Code: https://github.com/rpautrat/SuperPoint 

- MagicLeap: https://github.com/magicleap/SuperPointPretrainedNetwork

- Tự code + so sánh SIFT: https://github.com/ezrafield/ibm-certificate-final/blob/main/superpoint.ipynb

- Do dựa vào data nên lợi thế là cải thiện các false matchs từ việc chọn feature của model-centric, nhưng cũng gây bất lợi là khó hiểu, khó chỉnh nếu có lỗi

- Có khả năng chỉ so sánh 1 phần image nếu có thể xác định đó là phần chính (tụ nhiều keypoint), SIFT phải so sánh toàn ảnh

- output là 256-D

- Structure VGG với 1 encode 2 decode (1 cho keypoint detector, 1 cho descriptor) class output là probability của "point-ness"

- Loss function: keypoint loss + descriptor loss

3. Matching method

3.1. Euclide distance L1-Norm

Áp dụng Brute Force để tìm ra các cặp pair có khoảng cách vector nhỏ nhất (theo Euclide distance)

- Với mỗi vector trong set A, thường chọn 1 vector trong set B có khoảng cách nhỏ nhất + 1 vector trong set B có khoảng cách nhỏ nhì làm dự bị

- Dạng L1-Norm

- Sử dụng được với các vector Descriptor có tính independent


Camera Pose Estimate - Structure from Motivation

1. Mathematic

1.1. Intrinsic

- Là mô tả chuyển đổi giữa tọa độ ảnh và tọa độ camera

- matrix 3x3


p là principal point (giao giữa Oz và Image) và f là hàm biến đổi

- Code: https://colab.research.google.com/drive/1ifD95pJ-PpXQQ4UuK-pjlLMRDPn9Eikr


Có thể viết thành P = K [R t]

Với nhớ lại u = R t v trong homography

Vậy muốn tính được Intrinsic khi có Rotate, translate và homography

https://hoanglong187.blogspot.com/2022/09/6-sift-part-4-homographies-camera-models.html

Nếu ta biểu diễn image theo dạng X = d + alpha.a + beta.b  (a, b là 2 vector gốc của tọa độ image 1)

Mục đích ta là tìm ma trận T biến A thành B

- Vậy trong trường hợp cùng camera, chỉ tính Rotate thì:

- Trong trường hợp tính translate:

1 w1 ó thể cho ra nhiều w2. Vậy nên chưa đủ để xác định w2 nếu chỉ dựa vào K và t

1.2. Extrinsic

- Là mô tả chuyển đổi giữa tọa độ camera và tọa độ world


Vậy nếu muốn tính Extrinsic ta phải dựa vào Intrinsic và 2 tọa độ

1.3. Epipolar Geometry

- Để xác định vị trí của 1 điểm 3D dựa vào 2 image có hình chiếu của ảnh

- Thường xuyên được đề cập, đặ biệt là với SfM và MVS (multi-view stereo)

Có 2 trường hợp là Paralled Calibrate Camera và Generate Case

- Với Paralled, ta có thể dễ dàng tính toán dựa trên định lí Talet trong hình học phẳng. Ứng dụng thường là kết hợp CNN để tính motivate

- Với Generate Case, ta định nghĩa Fundamental Matrix F





Ma trận F có 9 phần tử, trừ bias còn 8, thực chất còn 7 DOFs, tức cần >= 7 points - 4 matchs nhưng càng nhiều càng tốt
Khi đã có F thì có thể chuyển về dạng Paralled

1.4. Triangulation

- Là xác định tọa độ 3D của điểm dựa vào hình chiếu tại >= 2 images

https://en.wikipedia.org/wiki/Triangulation_(computer_vision)#:~:text=In%20computer%20vision%2C%20triangulation%20refers,two%2C%20or%20more%2C%20images.

Thường phương pháp hay sử dụng là dùng Essential Matrix, với:

hay nói cách khác:

Dựa vào kết quả này ta có thể tính toán E và F matrix hoặc ngược lại kiểm tra lại các intricsic K

https://en.wikipedia.org/wiki/Trifocal_tensor

- Thường dùng với Trifocal Tensor để xây dựng graph với các iamge là node, các edge là matching pair với việc thêm các node mới có 2 trạng thái uncalibrated ( không biết intrinsic và extrinsic) và calibrated (biết intrinsic và extrinsic) với hỗ trợ của RANSAC và PnP

2. Camera calibration

2.1. RANdom SAmple Consensus RANSAC

Dùng để estimate 1 model từ data chứa outliers

Algorithm:

    - Chọn random 1 subset 

    - Check xem có bao nhiêu outliers với mean squared error MSE hoặc absolute error AE

    - Đặt 1 threshold, nếu cao hơn thì good fit, nếu thấp hơn thì chọn random lại subset khác

Cơ sở toán học là lấy mẫu random để ước tính phân phối

- Có thể dùng để tính homography

2.2. Perpestive n Points PnP

Dùng để estimate extrinsic

Sử dụng Levenberg-Marquardt algorithm hoặc Gauss-Newton algorithm

Extrinsic là 3x4 matrix

12 params -> cần 6 points -> ít nhất 3 cặp

(P0P: 6 DOFs, P1P: 4 DOFs, P2P: 2 DOFs, P3P: 0 DOFs)

Nhưng lại có đến 8 solutions -> cần ít nhất 4 cặp -> lí do có P4P

Càng nhiều matches hơn là để tối ưu trong trường hợp false match

3D Reconstruct

1. Bundle Adjustment BA

Thường là bước cuối của 3D-reconstruction dạng feature-base

Là thay đổi qua lại vị trí 3D point và hình chiếu của nó trên các image để tối ưu hàm loss Least squares (ý tưởng tương tự Maximal Likelihood Estimate MLE)
- Bắt đầu với Gauss Markov model: -> initial guess


point xi observed in image/camera j, corections v, 3D location Xi, projection matrix P(w/ non- linear calibrated), scaling parameter lambda (scale factor), p -> intrinsic parameter
=> Vấn đề với Outliers






Nhận xét